المنتجات
تغطي منتجاتنا مجالات متعددة أساسية مثل الكيماويات الدقيقة والكيماويات الأساسية والكيماويات المتخصصة، وتستخدم على نطاق واسع في صناعات رئيسية مثل الطلاء ومواد البناء والأدوية والطاقة الجديدة والمواد الجديدة.
هل لا يزال لديك أسئلة؟
معلومات الاتصال
وصف المنتج
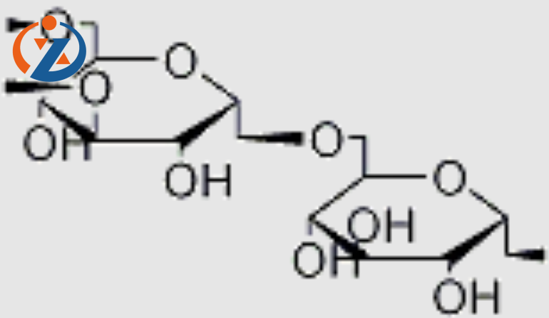
ديستران CAS #9004-54-0
الدكستران، وهو بوليمر جلوكوز يتكون بشكل أساسي من روابط أول-1،6-جلوكوبيرانوسيديك، يتم إنتاجه من السكروز بواسطة Leuconostoc mesenteroides والكائنات الحية ذات الصلة ومن الدكسترينات بواسطة بكتيريا أخرى.
يستخدم الدكستران بشكل حبيبات للمساعدة في تطبيقات المفاعلات الحيوية، وبعض مصفوفات استبعاد الحجم الكروماتوجرافي وفي دراسة تقنية الإجهاد الأسموزي المتعلقة بالجزيئات البيولوجية. يمكن استخدامه كطلاء مثبت لحماية الجسيمات النانوية المعدنية من الأكسدة.
الدكسترانات هي عديدات سكاريد جلوكوز طويلة السلسلة ذات كتل جزيئية نسبية مختلفة. دكستران 70 (الكتلة الجزيئية النسبية 70،000) يتم الاحتفاظ به في الحيز داخل الأوعية الدموية حيث، مثل الألبومين، يساهم في الضغط الأسموزي الغروي للبلازما. على عكس الألبومين، دكستران 70، عند إعطائه بكميات كبيرة، يمنع تجمع الصفائح الدموية ويسهل تحلل الفيبرين.

استخدام المنتج
حمض الكوجيك (CAS # 501-30-4) لديه مجموعة واسعة من التطبيقات. في مجال مستحضرات التجميل، عن طريق تثبيط نشاط التيروزيناز وخصائص مضادات الأكسدة، يتم استخدامه في كريمات التبييض ومنتجات أخرى لتبييض البشرة وإزالة النمش، كما يضاف إلى منتجات الوقاية من الشمس لتعزيز الحماية من الشمس؛ في مجال الغذاء، يمكن استخدام التأثيرات المضادة للبكتيريا ومضادات الأكسدة ليس فقط للحفاظ على لحوم الفواكه والخضروات طازجة، ولكن أيضًا لحماية اللون في الأطعمة المصنعة مثل العصير؛ في مجال الطب، يمكنه علاج أمراض الجلد المصطبغة مثل الكلف، ويمكن أيضًا أن يكون مضادًا للبكتيريا والالتهابات في الأدوية الموضعية؛ بالإضافة إلى ذلك، يمكن استخدامه كمُنظم لنمو النبات في الزراعة وكعامل مضاد للأكسدة وعامل خالب لأيونات المعادن في الإنتاج الصناعي.
عرض المصنع
وقت نقل سريع
المخزون 2-3 أيام عمل التصنيع الجديد 7-10 أيام عمل
الأسئلة الشائعة
س: ما هو سعركم؟
ج: سعرنا تنافسي للغاية لأننا مصنع. لا تتردد في الاتصال بنا إذا كنت مهتمًا بمنتجاتنا.
س: هل يمكنني زيارة مصنعكم؟
ج: بالطبع، نرحب بالعملاء من جميع أنحاء العالم لزيارة مصنعنا.
س: ما هي معلومات المنتج التي أحتاج إلى تقديمها؟
ج: تحتاج إلى تقديم الدرجة والعرض والسُمك والطلاء وعدد الأطنان التي تحتاج إلى شرائها.
س: كيف هو وقت التسليم؟
ج: خلال 3-15 يومًا بعد تأكيد متطلباتك.
س: ما هي شروط الدفع لديكم؟
ج: نقبل التحويل البنكي، الاعتماد المستندي عند الاطلاع، النقد، ويسترن يونيون. إذا كان لديك طريقة دفع أخرى، يرجى الاتصال بي.
س: هل تقدمون عينات؟
ج: نعم، يمكننا تقديم العينة لك للاختبار ولكن يرجى دفع رسوم الشحن.
اتصل بنا
منتجات ذات صلة